Combinational circuits: 조합회로
Output values only depend on the combination of inputs at that point of time: 출력 값은 해당 시점의 입력 조합에만 의존
The past input values do not affect the output values: 과거 입력값은 출력값에 영향을 주지 않음
- Each output can be represented by the Boolean expressions of inputs: 각 출력은 입력의 부울 식으로 표현될 수 있다
- Building block of the circuits is digital logic gate: 회로의 구성 요소는 디지털 논리 게이트


Boolean Algebra
An algebra dealing with binary variables and logic operations: 이진 변수와 논리 연산
- Boolean expression uses
Binary variables: 이진 변수
Constant 0 and 1: 상수 0과 1
Logical operations: 논리 연산
Parentheses: 괄호
- Boolean function can be described by a Boolean equation:부울 방정식으로 설명
Function name (function variables) = a Boolean expression: 함수 이름(함수 변수) = 부울 식
Term does not include AND: 항에 AND가 포함되지 않음
- Truth table
A list of all combinations of 1’s and 0’s
Shows the value of the function for each binary combination


(1) (WX'+Y)[(W+Z)'+(XYZ') ->complement-> WX'+Y'+Z
(2) (X+YZ(W+X') ->complement-> X'Y'+X'Z'
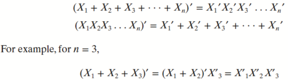
Complementing Boolean Expression: 부울 표현식 보완
- Successive application of DeMorgan’s laws: 드모르간 법칙의 연속적 적용

- The complement of the product is the sum of the complements
- The complement of the sum is the product of the complements
'학교 수업 > 컴퓨터구조' 카테고리의 다른 글
| [컴퓨터구조] 조합회로:인코더, 디코더, 멀티플렉서 (디지털 논리회로: Chap0. Digital Logic Circuits) (0) | 2024.04.29 |
|---|---|
| [컴퓨터구조] 디지털 논리회로(Chap0. Digital Logic Circuits) (0) | 2024.04.29 |